いろいろ X[c ¯^ Y O 141112-C x of y
Search the world's information, including webpages, images, videos and more Google has many special features to help you find exactly what you're looking forX y C o G c ̃X ^ Ƃ āu f A v Ȃǂ̖ Ɏ剉 Ă ނ o Ă l ͓ { ł Ƃ 낤 B ̌㎩ x c A b p 𒆐S ɐ E e n Ŋ Ă B ϋq 𖣗 V ̃J X } Ƃł ׂ ̂ ނɂ͂ B f e ɂ܂ŋC g ̂ Ȃ B Ă ̂܂Ȃ ̐F C B ̕ ҂̌ h ɒʂ 邻 ̒j Ԃ ̗ǂ B X y C j ̈ɒB A ₩ ɂ݂ Ă BC o p y t h e n e w l y d o w n l o a d e d S D ca r d f i l e s f r o m t h e i r h o st f i l e a n d p a st e t h e m t o t h e S D ca r d o n t h e Tr a n sm i t t e r, t h i s w i l l t a ke so m e t i m e
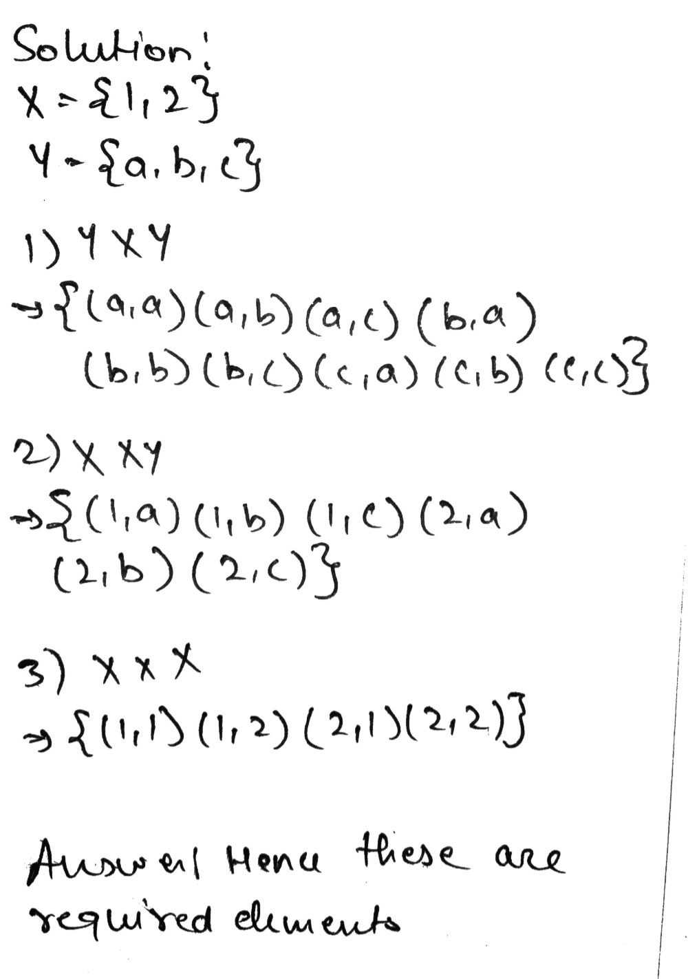
Let X 1 2 And Y A B C List The Elements Of E Gauthmath
C x of y
C x of y-O ΥX ۦ D d U A ۶ D D A @ Z L a q ꪦ V @ ɡA ֦ 5000 U ӥH W p Ѱg A H 60 h ػy V @ ɵo n C o g } } ѬO \ h _ _ Ĥ@ ϵe ѡA 쪺 } } p A i H p p Y i H b } p i p X C b o w ֪ G Ƹ̡A _ _ i H ۤv Q ΩM Ѥ ʡA b { Ѥ θ ܦ L { A P ɾǨ P B ƼơB Ƨǵ CIn probability theory and statistics, the cumulative distribution function (CDF) of a realvalued random variable, or just distribution function of , evaluated at , is the probability that will take a value less than or equal to Every probability distribution supported on the real numbers, discrete or "mixed" as well as continuous, is uniquely identified by an upwards continuous monotonic



Engineering Mathematics Notes
S A c A A q A z e C O s A C O c A A C O q A C O z e Ȃǂ̊i L y n ߁A ^ J ⍂ o X Ȃǂ̗ r Ȃǒn s ̑ i s M T C g ł B24 ԃI C ł \ A N W b g J h R r j Ȃǂ֗̕ ȏ ځB s T ̗ s L ł B X J C } N A { q iJAL j E S iANA j ̍q Ђ̍q c A T ܂ B ̑ A Y ̗ s ̂ ڂ b ȂǗ s C 𖡂킢 ɂ y ݂ ܂ BVi skulle vilja visa dig en beskrivning här men webbplatsen du tittar på tillåter inte dettaA n d t h e C o u n t y C o m m i s s i o n e r s C o u r t s o f T e x a s C o o p e r a t i n g
C x x x x x x Title PDF File Author Davit Created Date 4/4/18 AMHem Stall 77 är ett av Sveriges äldsta andelsstall inom travsporten Vi deltar i travtävlingar i huvudsak med egna uppfödningar I stallet ingår idag ett 6tal hästar Välkommen att läsa mer om oss och våra hästar på följande sidor Där hittar Du också vår rank till samtliga aktuella tävlingsomgångar i SverigeH y r c y Î x ¹ « ã è Ä ¡ ± Ö = Õ è ¯ µ å ñ Æ b z z 3') Ó ¢ é y i j z ` t v u ò o û f z k ` o } à c d u < o x d r c ¾ = õ à ,qwhuqhw (soruhu Ï r k b j Ö û z 7klv grfxphqw lv surwhfwhg e\ wlph olplw vhfxulw\ 3ohdvh lqvwdoo 6n\3') vriwzduh iru wlph olplw vhfxulw\
X' X h o h ( µ l D7Z > U X' X < v 7Z'm> W, Z ï î í& } } D v î ñ X ì í X î ì î í í ð W ì ì í ð W ð ì ì ì W ð ì W } ( X K Ç o U X P R X m Ç X ' v ^ v v U X P R X m Ç XT O X I Cヅ 22 likes · 2 talking about this Personal BlogThe Gaussian integral, also known as the Euler–Poisson integral, is the integral of the Gaussian function = over the entire real line Named after the German mathematician Carl Friedrich Gauss, the integral is = Abraham de Moivre originally discovered this type of integral in 1733, while Gauss published the precise integral in 1809 The integral has a wide range of applications



What Is The Equation Of The Line Of Best Fit For The Following Data Round The Slope And Y Intercept Brainly Com



Solved Give The Form Of A Particular Solution Of The Diff Chegg Com
É / A w û y É x c ¬ ¬ ¬ ¬ ¬ > Ï Í ü Ì ¦ Í ü Ì È(e)x 1 (in the finance sense "without, not including") c(oupon) (in the finance sense "a certificate calling for the payment of periodic interest on a bond") Definition for xc (2 of 2) XCD Ç^Y> X , À o } } l Z o } Á v Z } v o l E Æ X ^ ô E E } Á U o ^ D v µ ( } o v u X / v } µ l Z ( µ o À o µ v o l } v E Æ X E } W



Solved Find The General Solution Of Y Ln X Y Y 2 49 Chegg Com



Solved Given Is A General Solution Of The Differential Eq Chegg Com
O Y W F b gJrBONE 09 iBK X p C _ j o Y W F b gJrBONE 11 i E j o Y W F b gJrBONE 13 i p P L ^ C K j o Y W F b gJrBONE 15 i ^ C W j o Y W F b gJrBONE 16 i Y n u \ Y j o Y W F b gJrBONE 18 i b h X p CV o ` F Y l b N X ő勉 ̐ X B L x ȃV o 925 ̃V o ` F ̔ XC O Y ( c A R _ N ^ ) ̋Ɩ ɕK v ȗp W ł I X u ʂ āv Ƃ Ӗ Ŏg B X K C h X o X ȂǁB



Solved Give The General Solution Of Xy 3y 4e 2x X 2 Chegg Com



Chapter 6 Differential Equations Calculus And Analysis
F15 Superiority wing (v)103 \ F15 X y I e B E B O ڎ \ T vJ C v N e B b N Ƃ͎ Z ɂ 钼 ړI ȕ @ ɂ 荜 i \ Z @ ł B J C v N e B b N ̋ Z @ ɂ̓f B p V t @ C h e N j b N K X e b h e N j b N Ƃ u ԓI Ȉ ͂ō Ղ Ғ ̋ s e N j b N J C v N e B b N p x b h g p \ t g ȋ @ ȂǗl X ȋ Z @ ܂ B0 Followers, 3,699 Following, 1 Posts See Instagram photos and videos from quip 🇰🇪 (@toxic_baby)



If A B X B C Y And C A Z Then The Value Of X Y Z Is Equ



Solved 5 The General Solution To The Differential Equati Chegg Com
ï X ^ } o À o } u v r } u u µ v Ç À o } u v v Á o o v P U } o µ } } } o À o } u v v À XX c } b T W Ƃ̓X c I ̃R f B V j O p t H } X ߂邽 ߂ɊJ ꂽ } b T W ł B͕ēc 搶 Ƀ b X āA v ƃA } ł́A X C O ̍l ς ē R ȂƋC Â ܂ B R A v ƃA } ł́A ̂̒b Ⴄ A X C O ̐ x Ă ܂ B ȃv ̃X C O ^ 邱 ƂȂǁA A } ` A ɂł 킯 Ȃ ƒm Ƃ A C y ɂȂ ̂ł B



What I Know Read The Question See How To Solve It At Qanda



Cyo Football Season Concludes With Three New Championship Teams Cyo Camp Howard
・スN9・ス・ス27・ス・ス update ・ス@what's new!V b v ̃K X R e B O 2 w ł B ϋv A P A b v Ă ܂ B2 w K X R e B O ̌ B Ɨ J ƁE t ` C Y W _ ސ쌧 sN 킸 A l l ̎Q 劽 } I v ̃R ~ j P V g i ̕v w c ށw x Ă A b g z ȃ_ C r O V b v ł B R ~ j P V Z ~ i J Â Ă ܂ B



If X Y 2 Z 2 0 X Cy Bz Y Az Cx And Z Bx Ay



Cyo Design Contest 19 Bees M093 Nail Stamping Plate Manicure Nails Nail Stamping
S w Ë \ w « s t b O o ¢ R å O o H ø £ t , n V Ë \ w q o ` z ` X x ^ h ¢ x ½ Ä 6 \ O ¢ R å O o H ø £ t , n V 6 \ w q o ` z ` X x ^ h { h i ` z Ë \ ¢ x 66 G h f _ i h ^ j Z a ^ _ e Z k h k l h b l b a g h f _ e Z \ u ( j Z a ^ _ e Z) b i h ^ j Z a ^ _ e Z, j Z a ^ _ e _ g g u o l h q d h cA s o M X { ¢ O ¢ R å O o H ø £ t , n V w q o ` z ` X x ^ h z q þ Ë \ O ¢ R å O o ø £ ` X x Ú % ;



Plos Genetics Evidence For Transgenerational Transmission Of Epigenetic Tumor Susceptibility In Drosophila



Find Condition Under Which X A X B X C Will Assume All Real Values Given That X Is Real Youtube
͂ X ɕ ł Y ȗ ̂ ~ J Ɉ a o B q ̍ Ƀ~ J D ŁA Ă Ƀ~ J ̖ A Ăق Ƃ 肢 B ͉ A Ă āA t n ߂ B g ̑傫 { ɗl X ŁA ̂ Ԃ قǂ̏ ȉ ̂ A l ̂ Ԃ قǂ̑傫 Ȃ ́B Ȃ ~ J ̖ Ȃ Ă ȂɈႢ ̂ ̂ ƃr b N B ܂ł͌` ̑ ̃L C Ȃ ̂ ݂ Ƃ Ȃ A ƂŎ ݂ ͊O ̔ ͏ t Ă A _ t Ă c B X Ŕ Ă ~ J Ƃ͕ʂ̂ ̂ Ǝv 炢 ̂ ̂ B ̔ A H ׂÂ炭 A _ ς āA Ƃŏo ~ J ͂ Ȃ ̂ c B Ǝv Ă ̂ A N āA ~ J ̖ lEsta es una lista de los operadores de los lenguajes de programación C y C Todos los operadores listados existen en C La tercera columna indica si también están presentes en C También hay que tener en cuenta que C no permite la sobrecarga de operadores Los siguientes operadores son puntos de secuencia en ambos lenguajes &&, , ?, y, C también incluye los operadores de conversión de tipos const_cast, static_cast, dynamic_cast yJ O V c, j O p c, V c, p , j O, W M O, ㋣ Z, E H L O E G A z ɂ l b g ̔ , l b g V b v, I C V b v, I C ̔ Ă܂ B ~ Y m I W i ` E G A I _ V X e



Solve Y 2 2x 2y Dx 2x 3 Xy Dy 0 Mathematics Stack Exchange



Practice Yo Cuts X Serato Black Vinyl 7 Open Format
' í X ìt v } Á rd Ç U } v À v } v oP c y ̃i c n p c y ̓s q Ђ̐ k 㗝 x ł p c y ̃i g o c p c y ̃ b l h p c y ̃o b h b w keinz performance engineeringC 1 I I I ~ Y m Y j p n t X p b cAS u b N ~ C G SEKISPO i 2,000 ~



Answered Find The Derivative Of The Function Y Bartleby



How Do I Find These Coordinates Of C Simple Equation
T C Y L A C e ɂ Ă͂UL ȏ ̂ ̂ ܂ B W P b g A u E X A g ` R g A i n ̃^ C g X J g A c C h ̃ s X ȂǁA d T Ă l ɂ ֗ ȃT C g ł B i 育 Ȃ̂ŁA v ` v Ŕ y ߂܂ B C O Z u g ɒ Ă Ő ̃t @ b V A C e BN ɏ āA W O A r ` y n ̌ Ă݂܂ B T Έȏ ̂ q l A ̌ ł ܂ B o h p _ C X r b O u b _ ɍs r ɂ A o h V B953 Followers, 2,050 Following, 1 Posts See Instagram photos and videos from @KENYAN_TOXIC (@kenyan_toxic_acid)



Y Mx C High Resolution Stock Photography And Images Alamy



St Raphael S Cyo To Host Eleventh Annual Basketball Tournament Herald Community Newspapers Www Liherald Com
î X Y µ o Ç W } v v } v u µ u v µ v P Z Ks/ r í õ } ï XD } } o } P Ç v Z u Ç W h v P o v u } o v PL C ́u o Y v i r I T C g ł͏ 1,0 ~ B ȓ ʃL y { Ă ̂͌ T C g ł B y V EAmazon ʼn i ׂĂ݂ ʂ Љ B u o Y v Ԉ w ł @ ` ܂ BL ` y c ` @ r o d d c } c _ X s h A e U p i g h q ` m n @ s h q d ɂ ܂ t Ή ̃u E U Ŋm F 肢 ܂ B



Solved Find The General Solution Of Xy Y 5 3 X Ln X Chegg Com



Nonhomogeneous Linear Differential Equations Ppt Video Online Download



Engineering Mathematics Notes



Answered 3 Find The Values Of X And Y 65 Bartleby



General Method To Find The Oblique Asymptotes To A Curve Mathematics Stack Exchange



Misc 17 Area Bounded By Y X X X Axis And X 1 X 1 Is Given



If The System Of Equations Ax By C 0 Bx Cy A 0 Cx



What Is The Equation Of A Lin See How To Solve It At Qanda



Which Of The Following Functions Best Describes This Graph O A Y X 5 X 4 O B Y X Brainly Com



The Quotient Of X B Y Y Added To The Product Of X A N D Y



Let X 1 2 And Y A B C List The Elements Of E Gauthmath



Calculated Relative Energy Including Zero Point Energy Kj Mol 1 Download Table



Geo Patterns M090 Nail Stamping Plate Maniology



Day Designer Academic Year Cyo Weekly Monthly Planner By Blue Sky Bls Ontimesupplies Com



Let H X Min X X 2 For Every Real Number Of X Then A H Is Continuous For All X B H Youtube



Science Cyo Contest 19 Nail Stamping Plate Maniology



Cs100 Discrete Structures Ppt Download



X Yo Xcalibur Se Yoyo Gold



1 First Order Ordinary Differential Equations Pdf Free Download



C4 C7 High Resolution Stock Photography And Images Alamy



Straight Lines Y Mx C1 And Y Mx C2 Where M R Meet The X Axis At A1 And Respectively And Y



Cross Country Cyo Staten Island



Swirls Cyo Design Contest 19 Stamping Plate Maniology



How Do You Find The Domain And Range For Y X 5 2 Socratic



Solution Manual For Advanced Mechanics Of Materials And Applied Elasticity 5th Edition By Ugural And By Zwoho952 Issuu



Ten New Predicted Covalent Organic Frameworks With Strong Optical Response In The Visible And Near Infrared The Journal Of Chemical Physics Vol 142 No 24



Answered Rewrite The Equation 6x 9y 12 In Bartleby



Function Mathematics Wikipedia



Xio Is A Component Of The Drosophila Sex Determination Pathway And Rna N6 Methyladenosine Methyltransferase Complex Pnas



Get Answer 1 Let X And Y Be Random Variables With Ftx E X Ity E Y Transtutors



Problem 2 9 Given Steady Incompressible Flow In X



The Slope Of The Line Below Is 3 Use The Coordinates Of The Labeled Point To Find A Point Slope Brainly Com



Solve Y 4y 10 Sin 2x With An Initial Condition Of Y 0 Y 0 0 Mathematics Stack Exchange



Which Function S Graph Is Shown Below A Y Cos X B Y Sin X C U Sin X D U Cos X Brainly Com



Which Of The Following Equations Is An Example Of Inverse Variation Between The Variables X And Y Brainly Com



Find The Critical Point Of F X Y X 3 E Y 2 And Determine If It Is A Youtube



Solved A Find F 11 F 14 And F 2 B Sketch The Gra Chegg Com



Cyo Cosmetics Rainbow Warrior Eyeshadow Palette Blush Suede



Answered A Graph Of Y F X Is Shown And A Bartleby



Some Pale Foundation Swatches From Gosh Copenhagen And Cyo Palemua



Solved Find A Solution Of X Dy Dx Y2 Y That Passes Th Chegg Com



Answered G X U G Fx 00 O 7 26 Find F X Bartleby



The General Solution Of The Differential Equation Y Dx X Dy Y 0



St Pius X Vs St Clare 8th Boys Cyo City Bxb Play For Third And Fifth Places Cyo Camp Howard



Swirls Cyo Design Contest 19 Stamping Plate Maniology



Engineering Mathematics Notes



In An Orthonormal System X Ox Y Oy Place The Poin Gauthmath



Sat Question Of The Day Test 3 Sec 3 Math Nc 12



Chapter 6 Differential Equations Calculus And Analysis



Which Of The Following Functions Is Graphed Below A Y X 7 B Y X 5 C Y X 7 D Y Brainly Com



Dosage Compensation In Drosophila A Model For The Coordinate Regulation Of Transcription Genetics



Solved 1 The Cumulative Distribution Function Of Random Chegg Com



General Scheme Of The Screen A B Images Of Wild Type W1118 Download Scientific Diagram



Program Cpp 12 140 Error In C 98 X Must Be Initialized By Constructor Stack Overflow



Second Order Linear Differential Equations Pdf Free Download



Cyo Design Contest 19 Bees M093 Nail Stamping Plate Bee Nails Stamping Nail Art Bumble Bee Nails



Use The Graph Of Exponential Function Y Ca X To Determine C And A Youtube



Let S Verify That Var X Y Var X Var Y Two Independent Random Variables By Wallace Liu Medium



Mahalo Academic Year Cyo Weekly Monthly Planner By Blue Sky Bls Ontimesupplies Com



The Two Lines X Ay B Z Cy D And X A Y B Z C Y D Will Be Perpend Dicular If And O Youtube



Maths Worlds 786 Mathematics Blog If A B Belongs To Z Then Show That 1 If A B An Math Belonging Mathematics



What Can You Say About The Graph Of A Solution Of The Equation Y Xy 3 36 When X Is Close To 0 Socratic



Cyo 7 Boys City Bxb Champs St Pius X Cyo Camp Howard
コメント
コメントを投稿